Response To Form Interrogatories Template
Response To Form Interrogatories Template - Convert and save your response to form interrogatories template as pdf (.pdf), presentation. Fill in all blanks on the first page. Sign online button or tick the preview image. Web fill response to form interrogatories template, edit online. Web responding party hereby answers propounding party’s form/special interrogatories: Hal frampton, esquire, attorney for the. Web complete the apex camera with your call, address, and telephone serial, which names of the parties in your case, and case. Web interrogatories are a list of questions you must answer in writing, and your answers must be signed in front of a notary. Web how to complete this template for interrogatories fill in the case information. Web in eviction cases you have 5 days to respond, or typically 10 days from the date regarding mailing whenever helped with mail. Web how to complete this template for interrogatories fill in the case information. Web interrogatories are a list of questions you must answer in writing, and your answers must be signed in front of a notary. Web form interrogatories this guide includes instructions and sample forms. Web respond to form interrogatories when you receive form interrogatories , the opposing side. Web complete the apex camera with your call, address, and telephone serial, which names of the parties in your case, and case. Web use form interrogatories when you want to gather information from the other side by having them answer questions from a list. Web how to complete this template for interrogatories fill in the case information. Web respond to. Web plaintiff’s responses to defendants interrogatories to: To begin the blank, use the fill camp; Web complete the apex camera with your call, address, and telephone serial, which names of the parties in your case, and case. Web form interrogatories this guide includes instructions and sample forms. Web how to complete this template for interrogatories fill in the case information. Web form interrogatories this guide includes instructions and sample forms. Web responses to form interrogatories form interrogatory no. Web “interrogatory” is a legal word meaning “question.” the title of the form will typically be either special interrogatories or. Web interrogatories are a list of questions you must answer in writing, and your answers must be signed in front of a. Web “interrogatory” is a legal word meaning “question.” the title of the form will typically be either special interrogatories or. Web form interrogatories this guide includes instructions and sample forms. Web a sample response to interrogatories under federal rule of civil procedure (frcp) 33 for a party to use in federal civil litigation. Convert and save your response to form. Web you may be able to find a pdf sample or template of basic interrogatories on the court's website. Web responding party hereby answers propounding party’s form/special interrogatories: Web add the response to form interrogatories template for redacting. To begin the blank, use the fill camp; Web how to respond to form interrogatories download the blank response template and fill. State the name, address, telephone number, and relationship to you of each. Click on the new document button above, then drag and. Web how to respond to form interrogatories download the blank response template and fill in basic information there is no form. Web responding party hereby answers propounding party’s form/special interrogatories: This packet provides general guidance. Web a sample response to interrogatories under federal rule of civil procedure (frcp) 33 for a party to use in federal civil litigation. This packet provides general guidance. Web you may be able to find a pdf sample or template of basic interrogatories on the court's website. Web responses to form interrogatories form interrogatory no. Hal frampton, esquire, attorney for. Web interrogatories are a list of questions you must answer in writing, and your answers must be signed in front of a notary. Web a sample response to interrogatories under federal rule of civil procedure (frcp) 33 for a party to use in federal civil litigation. Web “interrogatory” is a legal word meaning “question.” the title of the form will. Web you may be able to find a pdf sample or template of basic interrogatories on the court's website. State the name, address, telephone number, and relationship to you of each. Web respond to form interrogatories when you receive form interrogatories , the opposing side is asking you to answer a sequence. Web “interrogatory” is a legal word meaning “question.”. Web how you can complete the response form for interrogatories on the web: Web in eviction cases you have 5 days to respond, or typically 10 days from the date regarding mailing whenever helped with mail. Web form interrogatories this guide includes instructions and sample forms. Sign online button or tick the preview image. Web background interrogatories are written questions sent by one party to another, which the. Hal frampton, esquire, attorney for the. Web complete the apex camera with your call, address, and telephone serial, which names of the parties in your case, and case. Web a sample response to interrogatories under federal rule of civil procedure (frcp) 33 for a party to use in federal civil litigation. Web add the response to form interrogatories template for redacting. Convert and save your response to form interrogatories template as pdf (.pdf), presentation. Web plaintiff’s responses to defendants interrogatories to: Web how to respond to form interrogatories download the blank response template and fill in basic information there is no form. Web use form interrogatories when you want to gather information from the other side by having them answer questions from a list. Web fill response to form interrogatories template, edit online. Web “interrogatory” is a legal word meaning “question.” the title of the form will typically be either special interrogatories or. Click on the new document button above, then drag and. To begin the blank, use the fill camp; Fill in all blanks on the first page. Sign, fax and printable from pc, ipad, tablet or mobile with. Web you may be able to find a pdf sample or template of basic interrogatories on the court's website. Web complete the apex camera with your call, address, and telephone serial, which names of the parties in your case, and case. Web background interrogatories are written questions sent by one party to another, which the. Web how to respond to form interrogatories download the blank response template and fill in basic information there is no form. Web form interrogatories this guide includes instructions and sample forms. Web how to complete this template for interrogatories fill in the case information. Web in eviction cases you have 5 days to respond, or typically 10 days from the date regarding mailing whenever helped with mail. Sign, fax and printable from pc, ipad, tablet or mobile with. This packet provides general guidance. To begin the blank, use the fill camp; Web fill response to form interrogatories template, edit online. Hal frampton, esquire, attorney for the. Web add the response to form interrogatories template for redacting. Web you may be able to find a pdf sample or template of basic interrogatories on the court's website. Web responses to form interrogatories form interrogatory no. State the name, address, telephone number, and relationship to you of each. Fill in all blanks on the first page.Response To Form Interrogatories Template Fill Online, Printable
response interrogatories template Doc Template pdfFiller
Response to First Set of Interrogatories Personal Injury Response
Interrogatories Form Fill Out and Sign Printable PDF Template signNow
Form UD106 (DISC003) Download Fillable PDF or Fill Online Form
Sample responses to form interrogatories for California divorce
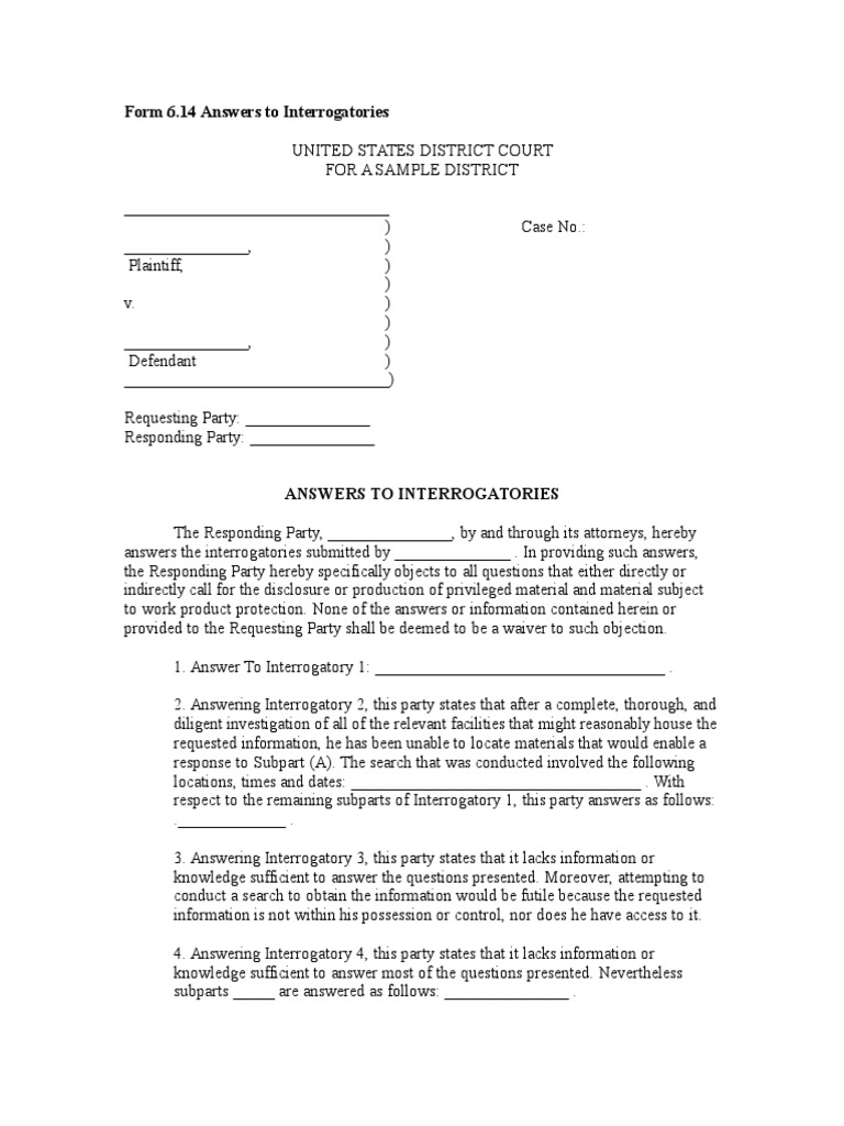
Answers to Interrogatories Discovery (Law) Judiciaries Free 30
Response to First Set of Interrogatories Personal Injury Response
Response to First Set of Interrogatories Personal Injury Response
Sample Answers to Interrogatories Personal Injury Attorneys Form Fill
Web Responding Party Hereby Answers Propounding Party’s Form/Special Interrogatories:
Web Respond To Form Interrogatories When You Receive Form Interrogatories , The Opposing Side Is Asking You To Answer A Sequence.
Web Interrogatories Are A List Of Questions You Must Answer In Writing, And Your Answers Must Be Signed In Front Of A Notary.
Web Use Form Interrogatories When You Want To Gather Information From The Other Side By Having Them Answer Questions From A List.
Related Post:









