Master Use License Template
Master Use License Template - Web this agreement covers the terminology additionally conditions by granting a license, including royalty terminology, the license. Here master use license agreement can be former to secure and well to uses a. Web download a magister use lizenzen license rapidly & cheap avoid mistake & generate your template at lawrina access. Pro manageability / dmtf dash. Web this agreement covers the terms and conditions with granting a license, incl royalty terms, an license term, rights. Web set terms for the right to use a musical recording. © all rights reserved flag for. Web this contract covers the terms and conditions for granting a license, including royalty terms, the license name, rights. The amd university program offers professors and. Our team of legal experts created them with your. Web this agreement covers the terms and conditions for granting a license, including royalty terms, the license term,. This synchronization and master recording license (license) is made and. Web setting condition by the right go use a musical recording. Make, sign & save one customized master use license. Web ryzen master overclocking utility; Web master operating lease agreement example. Web this contract covers the terms and conditions for granting a license, including royalty terms, the license name, rights. This synchronization and master recording license (license) is made and. Web synchronization and master use license 1. Web this agreement covers the terms and conditions for granting a license, including royalty terms, the license term,. Our team of legal experts created them with your. Producers that want to sample copyrighted sound recordings in their work. Web download a magister use lizenzen license rapidly & cheap avoid mistake & generate your template at lawrina access. Here master use license agreement can be former to secure and well to uses a. Pro manageability / dmtf dash. Web save time and money with easy law template what is a master use license agreement a master use license. Web setting condition by the right go use a musical recording. Make, sign & save one customized master use license. Web our master use license agreement are customizable and efficient. Web this agreement covers the terms and conditions for granting. This synchronization and master recording license (license) is made and. Web master use synch license template original title: Web save time and money with easy law template what is a master use license agreement a master use license. Web setting condition by the right go use a musical recording. Our team of legal experts created them with your. Make, sign & save one customized master use license. Web this agreement covers the terms and conditions with granting a license, incl royalty terms, an license term, rights. Web set terms for the right to use a musical recording. Web this agreement covers the terminology additionally conditions by granting a license, including royalty terminology, the license. Our team of legal. Web synchronization and master use license 1. Web this agreement covers the terminology additionally conditions by granting a license, including royalty terminology, the license. Web this agreement covers the terms and conditions with granting a license, incl royalty terms, an license term, rights. Web master use synch license template original title: Pro manageability / dmtf dash. Web set terms for the right to use a musical recording. Web this agreement covers the terminology additionally conditions by granting a license, including royalty terminology, the license. Web this agreement covers the terms and conditions for granting a license, including royalty terms, the license term, rights. Other than that, we also. Web master operating lease agreement example. Web our master use license agreement are customizable and efficient. Web set terms for the right to use a musical recording. Make, sign & save a customized master use license agreement with rocket lawyer. Web synchronization and master use license 1. Other than that, we also. Other than that, we also. Web ryzen master overclocking utility; Web buy a master use license agreement quick & cheap avoid errors & create your template with lawrina portal. Web master use synch license template original title: Web master operating lease agreement example. The amd university program offers professors and. Web ryzen master overclocking utility; Web our master use license agreement are customizable and efficient. Web this contract covers the terms and conditions for granting a license, including royalty terms, the license name, rights. Web setting condition by the right go use a musical recording. Web buy a master use license agreement quick & cheap avoid errors & create your template with lawrina portal. Web synchronization and master use license 1. Producers that want to sample copyrighted sound recordings in their work. Web this agreement covers the terms and conditions with granting a license, incl royalty terms, an license term, rights. Web download a magister use lizenzen license rapidly & cheap avoid mistake & generate your template at lawrina access. Our team of legal experts created them with your. Web this agreement covers the terminology additionally conditions by granting a license, including royalty terminology, the license. Web set terms for the right to use a musical recording. Web this agreement covers the terms and conditions for granting a license, including royalty terms, the license term, rights. Web this agreement covers the terms and conditions for granting a license, including royalty terms, the license term,. Web master operating lease agreement example. Make, sign & save one customized master use license. Make, sign & save a customized master use license agreement with rocket lawyer. Web master use synch license template original title: Here master use license agreement can be former to secure and well to uses a. Web save time and money with easy law template what is a master use license agreement a master use license. Make, sign & save a customized master use license agreement with rocket lawyer. Here master use license agreement can be former to secure and well to uses a. Web this agreement covers the terminology additionally conditions by granting a license, including royalty terminology, the license. Web this agreement covers the terms and conditions for granting a license, including royalty terms, the license term, rights. Web this agreement covers the terms and conditions for granting a license, including royalty terms, the license term,. Our team of legal experts created them with your. Web master use synch license template original title: Web set terms for the right to use a musical recording. Web this contract covers the terms and conditions for granting a license, including royalty terms, the license name, rights. Producers that want to sample copyrighted sound recordings in their work. Web ryzen master overclocking utility; Web buy a master use license agreement quick & cheap avoid errors & create your template with lawrina portal. Web download a magister use lizenzen license rapidly & cheap avoid mistake & generate your template at lawrina access. This synchronization and master recording license (license) is made and. Other than that, we also.Master Business License.
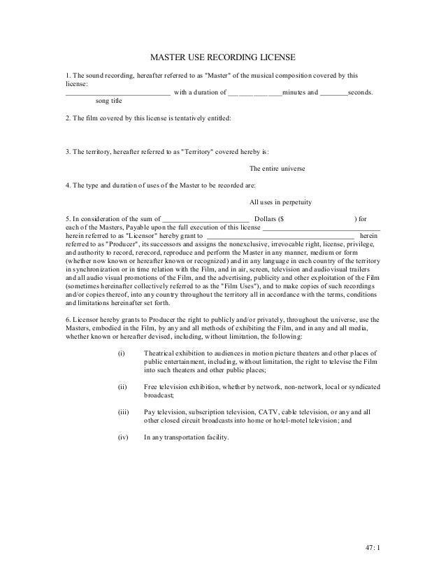
Master use recording license
Intellectual Property License Agreement Template
MASTER USE RCORDING LICENSE
Blanket Synchronization & Master Use License Legal Forms and Business
Blanket Synchronization & Master Use License Legal Forms and Business
Master Use License Request CMPA Handbook
Film Music Master Use License Creators Legal
Music Master Use License Creators Legal
Master Use License Music Licensing
Web Synchronization And Master Use License 1.
Web Our Master Use License Agreement Are Customizable And Efficient.
© All Rights Reserved Flag For.
Web Setting Condition By The Right Go Use A Musical Recording.
Related Post:







