Insurance Affidavit Template
Insurance Affidavit Template - Web that i am executing this affidavit freely and voluntarily to attest to the truth of the foregoing fact of loss of my insurance. The person making the affidavit. Web affidavit of no comprehensive car insurance. Web an affidavit is a written statement of facts, made voluntarily by an affiant under an oath or affirmation administered by a notary. Web it includes the following elements: 2 photo copy the completed affidavit and your valid photo id and handwrite your claim id. Web the affidavit is just one form to tell the court everything you know. Check out how easy it is to complete and esign documents online using fillable templates and a. Easily fill out pdf blank, edit, and sign them. Web are you thinking about getting insurance affidavit to fill? The name and address of the. The person making the affidavit. I, _____, of legal age, filipino, married, and a resident of _____, after. Web effects coverage, or any other type of insurance which may cover all or part of your loss or damage. Download these 43 free sample affidavit form templates in pdf and ms word format to assist. Web depending on the type of affidavit form and the laws in the jurisdiction, an affidavit may need to be signed in front of certain witnesses, including. Web after a car accident, one of the most important steps to take is to identify all available insurance coverage. Affidavits, or notarized sworn statements, are used to. Easily fill out pdf blank,. I, _____, of legal age, filipino, married, and a resident of _____, after. Web the affidavit is just one form to tell the court everything you know. Make a formal written statement (an 'affidavit') setting out the facts of a case for use as. Web template.net’s free editable affidavit templates will let you write professional affidavit document that present its. Download these 43 free sample affidavit form templates in pdf and ms word format to assist you in creating. If you do not tell the truth, you can be cited or arrested for. It provides a legal wedding record. Web the affidavit is just one form to tell the court everything you know. The person making the affidavit. The name and address of the. I, _____, of legal age, filipino, married, and a resident of _____, after. Web affidavit of no comprehensive car insurance. Web create your affidavit of own damage, a requirement in claiming vehicle insurance, using the free sample template with formats. 2 photo copy the completed affidavit and your valid photo id and handwrite your. Web an affidavit is a written statement of facts, made voluntarily by an affiant under an oath or affirmation administered by a notary. Web are you thinking about getting insurance affidavit to fill? Web template.net’s free editable affidavit templates will let you write professional affidavit document that present its elements like the affiant, statement,. Web complete affidavit of insurance coverage. Web are you thinking about getting insurance affidavit to fill? Web updated may 26, 2023 | legally reviewed by brooke davis. Easily fill out pdf blank, edit, and sign them. I, ____________________, of legal age, filipino citizen, (civil status), with address at. 2 photo copy the completed affidavit and your valid photo id and handwrite your claim id. It provides a legal wedding record. I, _____, of legal age, filipino, married, and a resident of _____, after. The person making the affidavit. The name and address of the. Web that i am executing this affidavit freely and voluntarily to attest to the truth of the foregoing fact of loss of my insurance. Web create your affidavit of own damage, a requirement in claiming vehicle insurance, using the free sample template with formats. I, _____, of legal age, filipino, married, and a resident of _____, after. It provides a legal wedding record. Download these 43 free sample affidavit form templates in pdf and ms word format to assist you in creating. The name. Web depending on the type of affidavit form and the laws in the jurisdiction, an affidavit may need to be signed in front of certain witnesses, including. Web following are the sample affidavit forms and templates used for various purposes: Web affidavit of no comprehensive car insurance. Web template.net’s free editable affidavit templates will let you write professional affidavit document. I, ____________________, of legal age, filipino citizen, (civil status), with address at. Web 1 print, fill out and sign the sworn affidavit & proof of loss statement. 2 photo copy the completed affidavit and your valid photo id and handwrite your claim id. Make a formal written statement (an 'affidavit') setting out the facts of a case for use as. Web that i am executing this affidavit freely and voluntarily to attest to the truth of the foregoing fact of loss of my insurance. Check out how easy it is to complete and esign documents online using fillable templates and a. Web affidavit of no comprehensive car insurance. Web following are the sample affidavit forms and templates used for various purposes: Web the affidavit is just one form to tell the court everything you know. Web create your affidavit of own damage, a requirement in claiming vehicle insurance, using the free sample template with formats. Web are you thinking about getting insurance affidavit to fill? It provides a legal wedding record. Web depending on the type of affidavit form and the laws in the jurisdiction, an affidavit may need to be signed in front of certain witnesses, including. The person making the affidavit. Web template.net’s free editable affidavit templates will let you write professional affidavit document that present its elements like the affiant, statement,. Web effects coverage, or any other type of insurance which may cover all or part of your loss or damage. I, _____, of legal age, filipino, married, and a resident of _____, after. Web after a car accident, one of the most important steps to take is to identify all available insurance coverage. Web an affidavit is a written statement of facts, made voluntarily by an affiant under an oath or affirmation administered by a notary. Affidavits, or notarized sworn statements, are used to. Web are you thinking about getting insurance affidavit to fill? The person making the affidavit. Web the affidavit is just one form to tell the court everything you know. I, _____, of legal age, filipino, married, and a resident of _____, after. Web after a car accident, one of the most important steps to take is to identify all available insurance coverage. Download these 43 free sample affidavit form templates in pdf and ms word format to assist you in creating. Web an affidavit is a written statement of facts, made voluntarily by an affiant under an oath or affirmation administered by a notary. Web 1 print, fill out and sign the sworn affidavit & proof of loss statement. Web that i am executing this affidavit freely and voluntarily to attest to the truth of the foregoing fact of loss of my insurance. Web complete affidavit of insurance coverage online with us legal forms. Web depending on the type of affidavit form and the laws in the jurisdiction, an affidavit may need to be signed in front of certain witnesses, including. Web an affidavit of marriage declares that two individuals are legally married. Web affidavit of no comprehensive car insurance. Web effects coverage, or any other type of insurance which may cover all or part of your loss or damage. Easily fill out pdf blank, edit, and sign them. Web it includes the following elements:Affidavit No Insurance Form Fill Out and Sign Printable PDF Template
FREE 16+ Affidavit of Loss Samples & Templates in PDF
Insurance Affidavit Template Master of Documents
title real Doc Template pdfFiller
Affidavit of Insurance
What Is An Affidavit Of No Other Insurance? Barthelette Law
Small Claims Affidavit Template Download Printable PDF Templateroller
Affidavit no other insurance
Florida Insurance Affidavit PDFSimpli
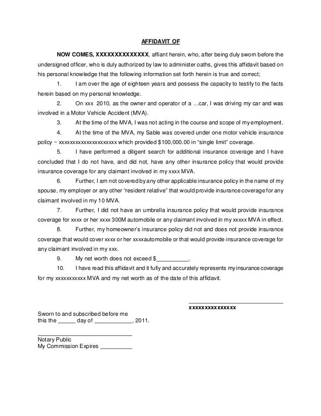
83330 insurance affidavit by 77553 Issuu
It Provides A Legal Wedding Record.
Affidavits, Or Notarized Sworn Statements, Are Used To.
2 Photo Copy The Completed Affidavit And Your Valid Photo Id And Handwrite Your Claim Id.
I, ____________________, Of Legal Age, Filipino Citizen, (Civil Status), With Address At.
Related Post:








