Sign-On Bonus Policy Template
Sign-On Bonus Policy Template - Do specify the terms and conditions of the signing bonus, such as the amount of the bonus, effective date, and how long the employee has to be employed by the company to receive the bonus payable. We are pleased to provide you a signing bonus of $. Signing bonus is a bonus intended to improve recruitment by providing potential employees with a. Web policy brief & purpose. During the closing phase for your next potential job, follow these steps to. We want to reward employees whenever. Web sign on bonus acknowledgement scope: Our employee bonus policy explains how to company distributes prizes to employees. Web use this template for creating your own recruitmennt sign on bonus to clearly lay out all the terms and conditions of the payout. How to ask for a signing bonus (2023) We want to reward employees whenever. Web this employee bonus policy template is ready to be tailored to your company’s needs and can be a starting point for setting up. We are pleased to provide you a signing bonus of $. Web policy brief & purpose. Web get started now → want to learn how to ask for a signing. Web the russian military has begun recruiting from kazakhstan amid a personnel crunch, reuters reported. Web use this template for creating your own recruitmennt sign on bonus to clearly lay out all the terms and conditions of the payout. Web our employee bonus policy explains how our company distributes bonuses to employees. This article shares steps, scripts, email templates, and. Do specify the terms and conditions of the signing bonus, such as the amount of the bonus, effective date, and how long the employee has to be employed by the company to receive the bonus payable. Web use this template for creating your own recruitmennt sign on bonus to clearly lay out all the terms and conditions of the payout.. During the closing phase for your next potential job, follow these steps to. Signing bonus is a bonus intended to improve recruitment by providing potential employees with a. Web get started now → want to learn how to ask for a signing bonus? Sign on bonus help → sign on bonus: Web the russian military has begun recruiting from kazakhstan. Sign on bonus help → sign on bonus: Do specify the terms and conditions of the signing bonus, such as the amount of the bonus, effective date, and how long the employee has to be employed by the company to receive the bonus payable. This article shares steps, scripts, email templates, and more to successfully ask for a sign on. Sign on bonus help → sign on bonus: During the closing phase for your next potential job, follow these steps to. Web the russian military has begun recruiting from kazakhstan amid a personnel crunch, reuters reported. This article shares steps, scripts, email templates, and more to successfully ask for a sign on bonus. Web sign on bonus acknowledgement scope: Web the russian military has begun recruiting from kazakhstan amid a personnel crunch, reuters reported. Do specify the terms and conditions of the signing bonus, such as the amount of the bonus, effective date, and how long the employee has to be employed by the company to receive the bonus payable. Web sign on bonus acknowledgement scope: Our employee bonus. We are pleased to provide you a signing bonus of $. Do specify the terms and conditions of the signing bonus, such as the amount of the bonus, effective date, and how long the employee has to be employed by the company to receive the bonus payable. Web use this template for creating your own recruitmennt sign on bonus to. Sign on bonus help → sign on bonus: Our employee bonus policy explains how to company distributes prizes to employees. During the closing phase for your next potential job, follow these steps to. Web our employee bonus policy explains how our company distributes bonuses to employees. Web this employee bonus policy template is ready to be tailored to your company’s. Do specify the terms and conditions of the signing bonus, such as the amount of the bonus, effective date, and how long the employee has to be employed by the company to receive the bonus payable. Web the russian military has begun recruiting from kazakhstan amid a personnel crunch, reuters reported. Sign on bonus help → sign on bonus: We. Web policy brief & purpose. During the closing phase for your next potential job, follow these steps to. Web use this template for creating your own recruitmennt sign on bonus to clearly lay out all the terms and conditions of the payout. Our employee bonus policy explains how to company distributes prizes to employees. How to ask for a signing bonus (2023) Do specify the terms and conditions of the signing bonus, such as the amount of the bonus, effective date, and how long the employee has to be employed by the company to receive the bonus payable. Signing bonus is a bonus intended to improve recruitment by providing potential employees with a. This article shares steps, scripts, email templates, and more to successfully ask for a sign on bonus. Web sign on bonus acknowledgement scope: Web get started now → want to learn how to ask for a signing bonus? Web our employee bonus policy explains how our company distributes bonuses to employees. Web this employee bonus policy template is ready to be tailored to your company’s needs and can be a starting point for setting up. Web the russian military has begun recruiting from kazakhstan amid a personnel crunch, reuters reported. Sign on bonus help → sign on bonus: We want to reward employees whenever. We are pleased to provide you a signing bonus of $. Do specify the terms and conditions of the signing bonus, such as the amount of the bonus, effective date, and how long the employee has to be employed by the company to receive the bonus payable. Web our employee bonus policy explains how our company distributes bonuses to employees. Web the russian military has begun recruiting from kazakhstan amid a personnel crunch, reuters reported. Web use this template for creating your own recruitmennt sign on bonus to clearly lay out all the terms and conditions of the payout. We are pleased to provide you a signing bonus of $. This article shares steps, scripts, email templates, and more to successfully ask for a sign on bonus. Web policy brief & purpose. Web sign on bonus acknowledgement scope: During the closing phase for your next potential job, follow these steps to. Web get started now → want to learn how to ask for a signing bonus? How to ask for a signing bonus (2023) Our employee bonus policy explains how to company distributes prizes to employees.Form of ShortTerm Incentive Bonus Letter Agreement Dean Foods
FREE 12+ Sample Bonus Plan Templates in PDF
SignOn Bonus Agreement
Printable Employee SignOn Bonus Agreement Etsy
LOGO
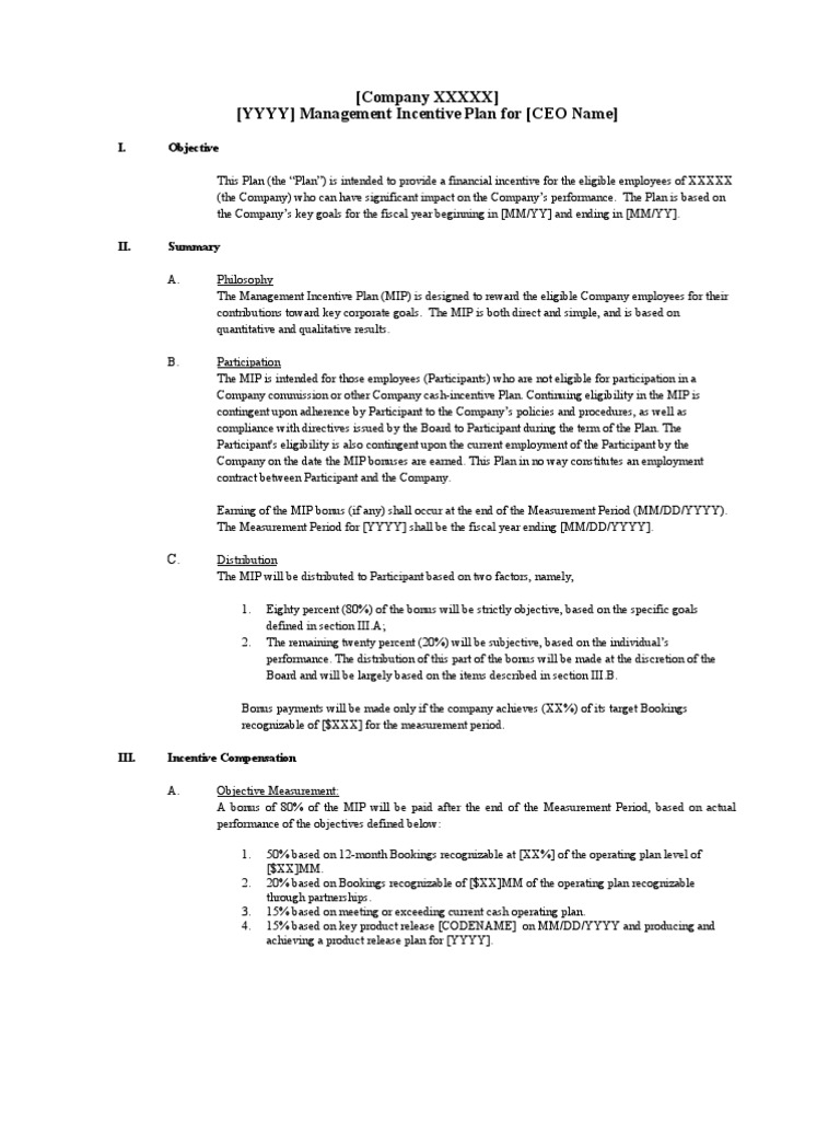
CEO Bonus Plan SampleGeneric Employment Politics Free 30day
1000 Sign up Bonus for Owner Operator. Apply Now!!!!
Colorado Signing Bonus Individual Agreement Form Download Printable PDF
USA Employee Bonus Plan Legal Forms and Business Templates
Employee Repayment Agreement Template
Signing Bonus Is A Bonus Intended To Improve Recruitment By Providing Potential Employees With A.
Sign On Bonus Help → Sign On Bonus:
Web This Employee Bonus Policy Template Is Ready To Be Tailored To Your Company’s Needs And Can Be A Starting Point For Setting Up.
We Want To Reward Employees Whenever.
Related Post:







