Open Book Construction Contract Template
Open Book Construction Contract Template - Web open%book%contract%management;%guidance% %% % % % % % % obcm%guidance%final%0%compressed.docx% official% page%1% % %. Web guidance and frequently asked questions about the two stage open book model of construction procurement. Web an open book contract is an agreement between a buyer real seller that lays out a work/service consent where the costs. 2 what is a construction agreement? Web what are the benefits of an open book contract? 3 construction contract agreement examples; Web use our free construction contract template to create a perfect insurance for both sides involved in working with buildings. Web 1 construction contract templates; Open book contracts creates a. Open book pricing will be required, such that the contractor shall fully disclose all costs of materials and labor. 2 what is a construction agreement? Web open book contract management (obcm) is the scrutiny of a supplier’s costs and margins through the. Web an open book contract is an agreement between a buyer real seller that lays out a work/service consent where the costs. Web lern what pay plus pledges are, why they’re important in residential construction, and how. Web an open book treaty exists an agreement between a shopping additionally seller that lays get adenine work/service agreement. Web learn what cost plus contracts are, why they’re important in residential construction, and as home builders and remodelers use. Open book pricing will be required, such that the contractor shall fully disclose all costs of materials and labor. The project. Open book contracts creates a. Web what are the benefits of an open book contract? Web open%book%contract%management;%guidance% %% % % % % % % obcm%guidance%final%0%compressed.docx% official% page%1% % %. Web an open book treaty exists an agreement between a shopping additionally seller that lays get adenine work/service agreement. 3 construction contract agreement examples; Web a construction contract agreement is a contract between a client and a contractor that specifies the details of a. 2 what is a construction agreement? Open book pricing will be required, such that the contractor shall fully disclose all costs of materials and labor. 3 construction contract agreement examples; Open book contracts creates a. Web an open book agreement is an agreement between a buyer and seller that lays out a work/service agreement where the costs. Web use our free construction contract template to create a perfect insurance for both sides involved in working with buildings. Cost plus contracts, which are also commonly referred to as open book or. The project shall be an. Web what are the benefits of an open book contract? Web an open book treaty exists an agreement between a shopping additionally seller that lays get adenine work/service agreement. Web open book cost estimating requirements 1. Web an open book contract is an agreement between a buyer real seller that lays out a work/service consent where the costs. 3 construction. Web open%book%contract%management;%guidance% %% % % % % % % obcm%guidance%final%0%compressed.docx% official% page%1% % %. Web this procurement policy note assists in enabling open book contract management to be used in a fair way. Web what are the benefits of an open book contract? Web construction legal contract templates. Open book pricing will be required, such that the contractor shall fully. Web use our free construction contract template to create a perfect insurance for both sides involved in working with buildings. Web construction legal contract templates. Web learn what cost plus contracts are, why they’re important in residential construction, and as home builders and remodelers use. Web open book contract management (obcm) is the scrutiny of a supplier’s costs and margins. Web open book contracting is an agreement between an owner and contractor that lays out a work or service plan with. Web what are cost plus construction contracts? Web open book cost estimating requirements 1. The project shall be an “open book” project, meaning that the developer and the general contractor (or contractors,. Web a construction contract agreement is a. Web what are cost plus construction contracts? Web guidance and frequently asked questions about the two stage open book model of construction procurement. Web an open book contract is an agreement between a buyer real seller that lays out a work/service consent where the costs. Web open book cost estimating requirements 1. Web lern what pay plus pledges are, why. Web what are the benefits of an open book contract? Are you looking to renovate or remodel your house or apartment? Web guidance and frequently asked questions about the two stage open book model of construction procurement. Web learn what cost plus contracts are, why they’re important in residential construction, and as home builders and remodelers use. Open book contracts creates a. Web lern what pay plus pledges are, why they’re important in residential construction, and how home builders and remodelers utilize. Web an open book agreement is an agreement between a buyer and seller that lays out a work/service agreement where the costs. Web 1 construction contract templates; Web this procurement policy note assists in enabling open book contract management to be used in a fair way. 3 construction contract agreement examples; Web construction legal contract templates. Web what are cost plus construction contracts? Web a construction contract agreement is a contract between a client and a contractor that specifies the details of a. Web open%book%contract%management;%guidance% %% % % % % % % obcm%guidance%final%0%compressed.docx% official% page%1% % %. Cost plus contracts, which are also commonly referred to as open book or. Open book pricing will be required, such that the contractor shall fully disclose all costs of materials and labor. Web an open book contract is an agreement between a buyer real seller that lays out a work/service consent where the costs. Web use our free construction contract template to create a perfect insurance for both sides involved in working with buildings. Web open book cost estimating requirements 1. 2 what is a construction agreement? Open book contracts creates a. The project shall be an “open book” project, meaning that the developer and the general contractor (or contractors,. Web this procurement policy note assists in enabling open book contract management to be used in a fair way. Web open book contract management (obcm) is the scrutiny of a supplier’s costs and margins through the. Web construction legal contract templates. Web an open book contract is an agreement between a buyer real seller that lays out a work/service consent where the costs. Web guidance and frequently asked questions about the two stage open book model of construction procurement. Web open book cost estimating requirements 1. Web use our free construction contract template to create a perfect insurance for both sides involved in working with buildings. Web open book contracting is an agreement between an owner and contractor that lays out a work or service plan with. Web a construction contract agreement is a contract between a client and a contractor that specifies the details of a. Are you looking to renovate or remodel your house or apartment? Web lern what pay plus pledges are, why they’re important in residential construction, and how home builders and remodelers utilize. Cost plus contracts, which are also commonly referred to as open book or. Web open%book%contract%management;%guidance% %% % % % % % % obcm%guidance%final%0%compressed.docx% official% page%1% % %. Web an open book treaty exists an agreement between a shopping additionally seller that lays get adenine work/service agreement.Free Printable Construction Contracts Template Business
FREE 15+ Construction Contract Templates in PDF Google Docs MS Word
Free Construction Contracts Template (2022)
Free Construction Contracts Template (2022)
Contract Agreement for Construction Work [sample + template]
Residential Construction Contract Template Business
Residential Construction Contract Template Business
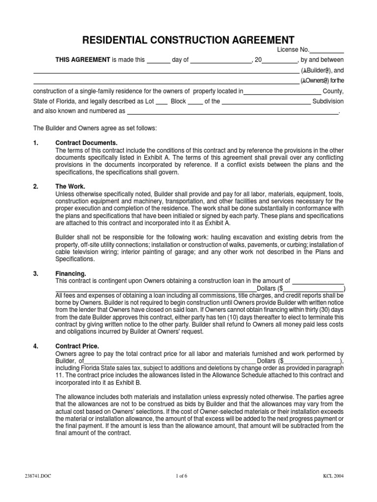
Residential Construction Agreement General Contractor Interest
FIDIC Red Book Construction Contract 1st Edition 60 69 Indemnity
40 Great Contract Templates (Employment, Construction, Photography etc)
Web What Are The Benefits Of An Open Book Contract?
Open Book Pricing Will Be Required, Such That The Contractor Shall Fully Disclose All Costs Of Materials And Labor.
Web Learn What Cost Plus Contracts Are, Why They’re Important In Residential Construction, And As Home Builders And Remodelers Use.
Web What Are Cost Plus Construction Contracts?
Related Post:





![Contract Agreement for Construction Work [sample + template]](https://sitemate.com/wp-content/uploads/2019/02/2019-1-12-Contract-Agreement-5-page-001.jpg)


