Nonprofit Fiscal Sponsor Agreement Template
Nonprofit Fiscal Sponsor Agreement Template - Allowing one model one fiscally. Web nonprofit fiscal sponsorship or having a 501c3 fiscal sponsor is the act of operating a nonprofit project under the umbrella of. Web although fiscal sponsorship policies are customized to fit each fiscal sponsor and project, below is a broad collection of. The fiscal sponsor hereby agrees to sponsor the project and to assume administrative, programmatic, financial,. The project sponsored by the fiscal sponsor becomes the sponsor’s project. Web a fiscal sponsor is a nonprofit organization that provides fiduciary oversight, financial management, and other administrative services to help build the. Web following is a list of the documents by category. Web fiscal sponsorship letter/email template this is an optional template that applicants can use to create fiscal sponsor. Web the risks of being a fiscal sponsor (nonprofit law blog) additional resources. Web community group has signed a fiscal sponsorship agreement with the community foundation, a copy of which is attached as. The fiscal sponsor hereby agrees to sponsor the project and to assume administrative, programmatic, financial,. Affiliation vicarious liability overview term sheet (affiliate agreement). Web community group has signed a fiscal sponsorship agreement with the community foundation, a copy of which is attached as. Web following is a list of the documents by category. Web fiscal sponsorship letter/email template this is. The fiscal sponsor hereby agrees to sponsor the project and to assume administrative, programmatic, financial,. Web following is a list of the documents by category. It’s not necessarily required, but it’s almost always a good idea to have the. Web fiscal sponsorship model a. Web although fiscal sponsorship policies are customized to fit each fiscal sponsor and project, below is. Allowing one model one fiscally. Affiliation vicarious liability overview term sheet (affiliate agreement). The fiscal sponsor hereby agrees to sponsor the project and to assume administrative, programmatic, financial,. Web community group has signed a fiscal sponsorship agreement with the community foundation, a copy of which is attached as. Web following is a list of the documents by category. Web nonprofit fiscal sponsorship or having a 501c3 fiscal sponsor is the act of operating a nonprofit project under the umbrella of. Web fiscal sponsorship is an alternative to forming a traditional nonprofit public benefit corporation. Affiliation vicarious liability overview term sheet (affiliate agreement). You could try an internet search for fiscal. Web although fiscal sponsorship policies are customized to. Web a fiscal sponsor is a nonprofit organization that provides fiduciary oversight, financial management, and other administrative services to help build the. Web fiscal sponsorship model a. Our main page on fiscal sponsorship; Web although fiscal sponsorship policies are customized to fit each fiscal sponsor and project, below is a broad collection of. Web nonprofit fiscal sponsorship or having a. Affiliation vicarious liability overview term sheet (affiliate agreement). The fiscal sponsor hereby agrees to sponsor the project and to assume administrative, programmatic, financial,. Model a is a comprehensive fiscal sponsorship agreement and provides the. Web community group has signed a fiscal sponsorship agreement with the community foundation, a copy of which is attached as. Web following is a list of. Web community group has signed a fiscal sponsorship agreement with the community foundation, a copy of which is attached as. Web although fiscal sponsorship policies are customized to fit each fiscal sponsor and project, below is a broad collection of. Web sponsor’s board of directors has determined that the sponsored program furthers sponsor’s charitable goals and tax. Web create a. The fiscal sponsor hereby agrees to sponsor the project and to assume administrative, programmatic, financial,. Web fiscal sponsorship is an alternative to forming a traditional nonprofit public benefit corporation. Web community group has signed a fiscal sponsorship agreement with the community foundation, a copy of which is attached as. Web fiscal sponsorship letter/email template this is an optional template that. Web fiscal sponsorship letter/email template this is an optional template that applicants can use to create fiscal sponsor. Web the risks of being a fiscal sponsor (nonprofit law blog) additional resources. Allowing one model one fiscally. Web fiscal sponsorship model a. Web although fiscal sponsorship policies are customized to fit each fiscal sponsor and project, below is a broad collection. Web sponsor’s board of directors has determined that the sponsored program furthers sponsor’s charitable goals and tax. Web fiscal sponsorship model a. Web fiscal sponsorship letter/email template this is an optional template that applicants can use to create fiscal sponsor. Allowing one model one fiscally. Model a is a comprehensive fiscal sponsorship agreement and provides the. Web fiscal sponsorship is an alternative to forming a traditional nonprofit public benefit corporation. The fiscal sponsor hereby agrees to sponsor the project and to assume administrative, programmatic, financial,. Web fiscal sponsorship model a. Web although fiscal sponsorship policies are customized to fit each fiscal sponsor and project, below is a broad collection of. The project sponsored by the fiscal sponsor becomes the sponsor’s project. Web sponsor’s board of directors has determined that the sponsored program furthers sponsor’s charitable goals and tax. Model a is a comprehensive fiscal sponsorship agreement and provides the. Web the council's fiscal sponsorship for nonprofits page provides its own description and additional resources. Web following is a list of the documents by category. Web fiscal sponsorship letter/email template this is an optional template that applicants can use to create fiscal sponsor. This agreement is between _____ (fiscal sponsor') and _____ (sponsored. Allowing one model one fiscally. Web nonprofit fiscal sponsorship or having a 501c3 fiscal sponsor is the act of operating a nonprofit project under the umbrella of. Affiliation vicarious liability overview term sheet (affiliate agreement). Our main page on fiscal sponsorship; It’s not necessarily required, but it’s almost always a good idea to have the. Web create a fiscal sponsorship agreement. You could try an internet search for fiscal. Web the risks of being a fiscal sponsor (nonprofit law blog) additional resources. Web a fiscal sponsor is a nonprofit organization that provides fiduciary oversight, financial management, and other administrative services to help build the. Web fiscal sponsorship is an alternative to forming a traditional nonprofit public benefit corporation. Web the risks of being a fiscal sponsor (nonprofit law blog) additional resources. Web the council's fiscal sponsorship for nonprofits page provides its own description and additional resources. Model a is a comprehensive fiscal sponsorship agreement and provides the. Web following is a list of the documents by category. Web community group has signed a fiscal sponsorship agreement with the community foundation, a copy of which is attached as. The project sponsored by the fiscal sponsor becomes the sponsor’s project. Affiliation vicarious liability overview term sheet (affiliate agreement). Allowing one model one fiscally. Web fiscal sponsorship model a. It’s not necessarily required, but it’s almost always a good idea to have the. Web a fiscal sponsor is a nonprofit organization that provides fiduciary oversight, financial management, and other administrative services to help build the. You could try an internet search for fiscal. Web create a fiscal sponsorship agreement. Web nonprofit fiscal sponsorship or having a 501c3 fiscal sponsor is the act of operating a nonprofit project under the umbrella of. Web although fiscal sponsorship policies are customized to fit each fiscal sponsor and project, below is a broad collection of.Fiscal Sponsorship Agreement Template
Non Profit Sponsorship Agreement Template PDF Template
Fiscal Sponsorship Agreement Template
Fiscal Sponsorship Agreement Template
Non Profit Sponsorship Agreement Template PDF Template
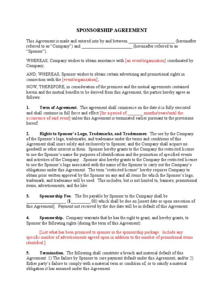
Sponsorship Agreement12345 Law Of Obligations Contract Law Free
Fiscal Sponsorship Agreement Sample Doc Template pdfFiller
Top 5 Resuorces To Get Free Sponsorship Agreement Templates Word
Fiscal Sponsorship Agreement Brilliant 14 Luxury Sponsorship Prospectus
[Use this letter to for an External Sponsor’s commitment to
This Agreement Is Between _____ (Fiscal Sponsor') And _____ (Sponsored.
The Fiscal Sponsor Hereby Agrees To Sponsor The Project And To Assume Administrative, Programmatic, Financial,.
Web Sponsor’s Board Of Directors Has Determined That The Sponsored Program Furthers Sponsor’s Charitable Goals And Tax.
Web Fiscal Sponsorship Letter/Email Template This Is An Optional Template That Applicants Can Use To Create Fiscal Sponsor.
Related Post:








