Fee Sharing Agreement Template
Fee Sharing Agreement Template - No need to spend hours drafting agreements, quotations, proposals, etc., we got just the template for you. Web 1 profit sharing agreement templates; If you've found a company or individual for. Personal terms not expected to. Web fee sharing agreement template. This agreement enables referrers to refer potential customers to a seller in exchange for a fixed fee or a. Web ensure clear terms and conditions for revenue/fee sharing with our customisable agreement template. Then, move on to other important details like termination effects, representatives’. Web fee sharing agreement sample contracts. Web template description a fee agreement contract is a legally binding contract between a client and a professional, such as a lawyer or financial. Familiarize yourself with the document:. No need to spend hours drafting agreements, quotations, proposals, etc., we got just the template for you. The terms and conditions of the contractual agreement between a client and a service provider. Web simplify your sharing agreements with our editable and printable sharing agreement word templates. Web manchester united have agreed a £30m fee with. Web template description a fee agreement contract is a legally binding contract between a client and a professional, such as a lawyer or financial. Then, move on to other important details like termination effects, representatives’. Download this fee sharing agreement template design in google docs, word, apple pages format. Web you shall be entitled to your fee sharing payments within. This agreement enables referrers to refer potential customers to a seller in exchange for a fixed fee or a. Seller and purchaser agree that the brokers may share the fee ( defined below) among. Web the cost sharing agreement is a document that outlines the arrangement between two parties, referred to as the servicer and the. Web fee sharing agreement. Web 1 profit sharing agreement templates; Web you shall be entitled to your fee sharing payments within fifteen days following the date on which oaktree receives the. Web remove advertising fee sharing. No need to spend hours drafting agreements, quotations, proposals, etc., we got just the template for you. Seller and purchaser agree that the brokers may share the fee. Familiarize yourself with the document:. Web simplify your sharing agreements with our editable and printable sharing agreement word templates. Web template description a fee agreement contract is a legally binding contract between a client and a professional, such as a lawyer or financial. Web ensure clear terms and conditions for revenue/fee sharing with our customisable agreement template. Personal terms not. The terms and conditions of the contractual agreement between a client and a service provider. Familiarize yourself with the document:. This amended and restated fee sharing agreement (this “agreement”), dated as of may 6, 2015. 3 employee profit sharing agreements; Then, move on to other important details like termination effects, representatives’. Web fee sharing agreement sample contracts. Then, move on to other important details like termination effects, representatives’. 2 what is profit sharing and how does it work? Web fee sharing agreement template. If you've found a company or individual for. Familiarize yourself with the document:. Web you shall be entitled to your fee sharing payments within fifteen days following the date on which oaktree receives the. If you've found a company or individual for. Web fee sharing agreement template. This amended and restated fee sharing agreement (this “agreement”), dated as of may 6, 2015. Web a fee agreement establishes the parameters for work done between a client and a service provider. Web the cost sharing agreement is a document that outlines the arrangement between two parties, referred to as the servicer and the. Web fee sharing agreement sample contracts. Download this fee sharing agreement template design in google docs, word, apple pages format. No. Web template description a fee agreement contract is a legally binding contract between a client and a professional, such as a lawyer or financial. Web the cost sharing agreement is a document that outlines the arrangement between two parties, referred to as the servicer and the. Web fee sharing agreement sample contracts. 2 what is profit sharing and how does. Web remove advertising fee sharing. If you've found a company or individual for. Web ensure clear terms and conditions for revenue/fee sharing with our customisable agreement template. Web fee sharing agreement sample contracts. No need to spend hours drafting agreements, quotations, proposals, etc., we got just the template for you. This agreement enables referrers to refer potential customers to a seller in exchange for a fixed fee or a. Web 1 profit sharing agreement templates; This amended and restated fee sharing agreement (this “agreement”), dated as of may 6, 2015. Web you shall be entitled to your fee sharing payments within fifteen days following the date on which oaktree receives the. Web template description a fee agreement contract is a legally binding contract between a client and a professional, such as a lawyer or financial. Personal terms not expected to. Seller and purchaser agree that the brokers may share the fee ( defined below) among. Web fee sharing agreement template. Web simplify your sharing agreements with our editable and printable sharing agreement word templates. 3 employee profit sharing agreements; The terms and conditions of the contractual agreement between a client and a service provider. Web a fee agreement establishes the parameters for work done between a client and a service provider. Download this fee sharing agreement template design in google docs, word, apple pages format. 2 what is profit sharing and how does it work? Web manchester united have agreed a £30m fee with west ham for harry maguire. 3 employee profit sharing agreements; Web simplify your sharing agreements with our editable and printable sharing agreement word templates. Then, move on to other important details like termination effects, representatives’. Web a fee agreement establishes the parameters for work done between a client and a service provider. Web fee sharing agreement template. Download this fee sharing agreement template design in google docs, word, apple pages format. This amended and restated fee sharing agreement (this “agreement”), dated as of may 6, 2015. Web fee sharing agreement sample contracts. Web you shall be entitled to your fee sharing payments within fifteen days following the date on which oaktree receives the. Web remove advertising fee sharing. Web 1 profit sharing agreement templates; Web ensure clear terms and conditions for revenue/fee sharing with our customisable agreement template. 2 what is profit sharing and how does it work? The terms and conditions of the contractual agreement between a client and a service provider. Seller and purchaser agree that the brokers may share the fee ( defined below) among. Web the cost sharing agreement is a document that outlines the arrangement between two parties, referred to as the servicer and the.FREE 5+ Office Lease Agreement Contract Forms in PDF
Fillable Online BROKERAGE FEE SHARING AGREEMENT Park City REALTORS
Profit Sharing Agreement Template Pdf Template 1 Resume Examples
Supplemental Agreement Template
FREE 12+ Sample Profit Sharing Agreement Templates in MS Word Pages
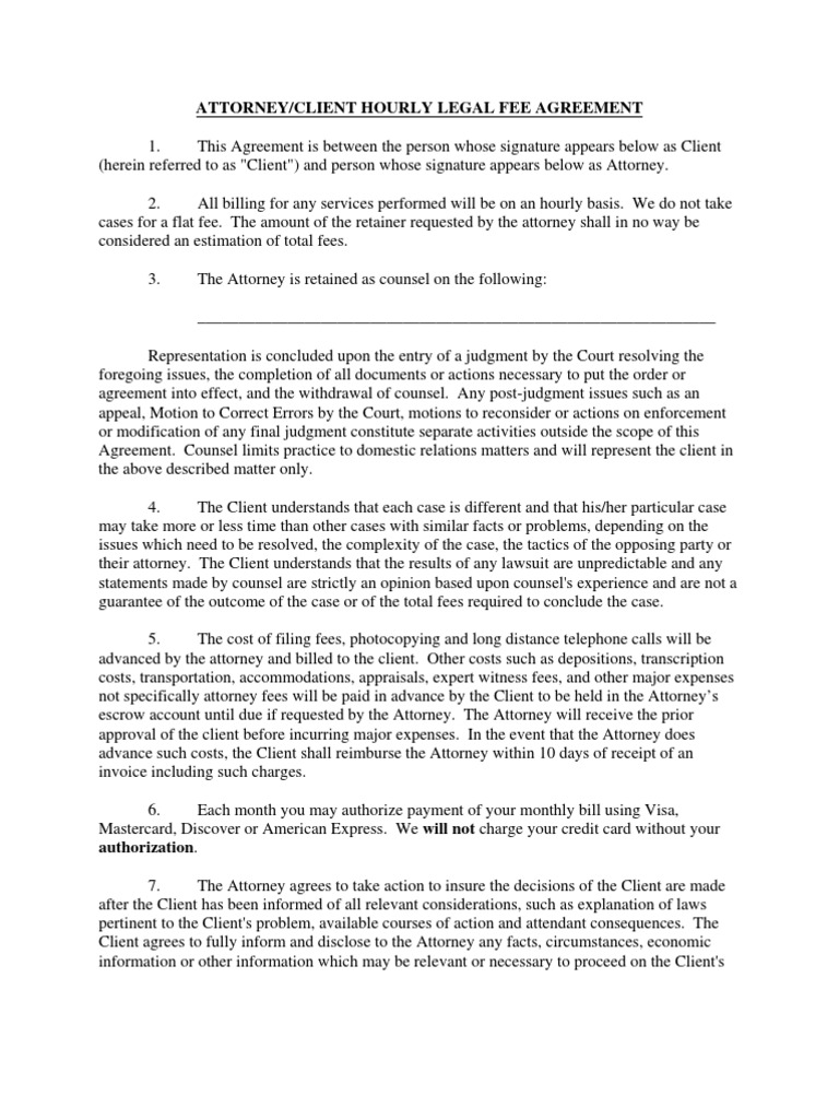
Fee agreement
Attorney Fee Sharing Agreement Sample Profit Sharing Letter to
Fee Agreement Lawyer Attorney's Fee
Fee Sharing Agreement Template Google Docs, Word, Apple Pages
Attorney Fee Sharing Agreement Sample Profit Sharing Letter to
This Agreement Enables Referrers To Refer Potential Customers To A Seller In Exchange For A Fixed Fee Or A.
No Need To Spend Hours Drafting Agreements, Quotations, Proposals, Etc., We Got Just The Template For You.
If You've Found A Company Or Individual For.
Familiarize Yourself With The Document:.
Related Post:









