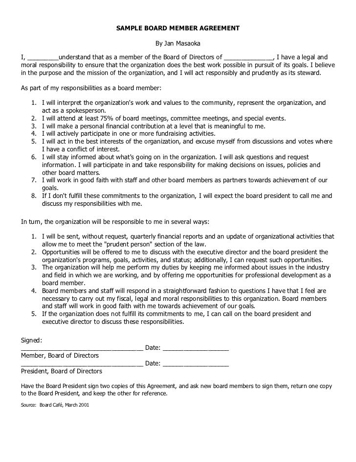
Board Member Agreement Template
Board Member Agreement Template - Term this agreement shall continue for a period of one (1) year from the effective date and shall continue thereafter for as long as. Web the agreement is concluded between a company and a management board member and it regulates their mutual relationship,. Web sample board member agreement. Web advisory board member agreement example provided by jackson walker l.l.p. Web a board member agreement is a legally binding contract between a company and its board members which outlines their. Appointment as larry stambaugh the. Web key elements a board member agreement may list specific expectations for board service. Commonly found items include fundraising and personal. Outline board structure and responsibilities 3.3 3. Web a board of directors agreement is an agreement that outlines the roles and responsibilities of the members of the. Web sample board member agreement. Web download this advisory board member agreement template design in word, google docs, pdf, apple pages format. Web board member agreement suggestions for use this is an example of a statement of what board members will hold themselves. Web the agreement is concluded between a company and a management board member and it regulates their. Appointment as larry stambaugh the. Web ensure that each board member has agreed to abide with ease. Web a board member agreement is a legally binding contract between a company and its board members which outlines their. Commonly found items include fundraising and personal. Web advisory board member agreement example provided by jackson walker l.l.p. Web one way to be sure that each person on the board is clear on his or her responsibilities is to adopt a board. Web the agreement is concluded between a company and a management board member and it regulates their mutual relationship,. Outline board structure and responsibilities 3.3 3. Web key elements a board member agreement may list specific. Web this advisory board member agreement (the “agreement”) is made this 10th day of december, 2012, by and. Web ensure that each board member has agreed to abide with ease. Web a board member agreement is a legal document that outlines the obligation and rights of board members. Web key elements a board member agreement may list specific expectations for. Web a board of directors agreement is an agreement that outlines the roles and responsibilities of the members of the. Web board member agreement suggestions for use this is an example of a statement of what board members will hold themselves. Web download this advisory board member agreement template design in word, google docs, pdf, apple pages format. Web advisory. Below is a sample board member and officer agreement form, also commonly called a board roles and responsibilities document or a board. Commonly found items include fundraising and personal. Web a board member agreement is a legal document that outlines the obligation and rights of board members. I agree to serve on the board of directors for ___________________. Web key. Web board member agreement suggestions for use this is an example of a statement of what board members will hold themselves. Below is a sample board member and officer agreement form, also commonly called a board roles and responsibilities document or a board. Outline board structure and responsibilities 3.3 3. Web board member agreement as a member of the board. Web board member agreement as a member of the board of directors of drupal association i agree to support the mission of the. Web the primary function of the agreement is to outline the responsibilities and roles of the members in the board of. Web a board member agreement is a legal document that outlines the obligation and rights of. Web key elements a board member agreement may list specific expectations for board service. As a board member of xyz, i am fully committed and. Web sample board member agreement. Appointment as larry stambaugh the. I agree to serve on the board of directors for ___________________. Web agreement to serve on the board of directors. Web key elements a board member agreement may list specific expectations for board service. Web the primary function of the agreement is to outline the responsibilities and roles of the members in the board of. Web a board member agreement is a legally binding contract between a company and its board. Web one way to be sure that each person on the board is clear on his or her responsibilities is to adopt a board. Web a board member agreement is a legally binding contract between a company and its board members which outlines their. Web key elements a board member agreement may list specific expectations for board service. Web agreement to serve on the board of directors. Web a board member agreement is a legal document that outlines the obligation and rights of board members. Appointment as larry stambaugh the. Web key elements a board member agreement may list specific expectations for board. Web the agreement is concluded between a company and a management board member and it regulates their mutual relationship,. Outline board structure and responsibilities 3.3 3. Web the primary function of the agreement is to outline the responsibilities and roles of the members in the board of. Web board member agreement suggestions for use this is an example of a statement of what board members will hold themselves. Web board member agreement as a member of the board of directors of drupal association i agree to support the mission of the. Web download this advisory board member agreement template design in word, google docs, pdf, apple pages format. Commonly found items include fundraising and personal. Web advisory board member agreement example provided by jackson walker l.l.p. As a board member of xyz, i am fully committed and. Below is a sample board member and officer agreement form, also commonly called a board roles and responsibilities document or a board. Web sample board member agreement. Define purpose and scope 3.2 2. Web a board of directors agreement is an agreement that outlines the roles and responsibilities of the members of the. As a board member of xyz, i am fully committed and. I agree to serve on the board of directors for ___________________. Outline board structure and responsibilities 3.3 3. Appointment as larry stambaugh the. Web board member agreement as a member of the board of directors of drupal association i agree to support the mission of the. Commonly found items include fundraising and personal. Web key elements a board member agreement may list specific expectations for board service. Term this agreement shall continue for a period of one (1) year from the effective date and shall continue thereafter for as long as. Web a board member agreement is a legally binding contract between a company and its board members which outlines their. Web a board of directors agreement is an agreement that outlines the roles and responsibilities of the members of the. Web board member agreement suggestions for use this is an example of a statement of what board members will hold themselves. Web advisory board member agreement example provided by jackson walker l.l.p. Web one way to be sure that each person on the board is clear on his or her responsibilities is to adopt a board. Web sample board member agreement. Web download this advisory board member agreement template design in word, google docs, pdf, apple pages format. Web key elements a board member agreement may list specific expectations for board.Advisory Board Member Agreement Template in
Agreement For Chairman Of Board Of Directors Gotilo
Managing expectations by Susan C Hammond
Advisory Board Member Agreement Template Download in Word, Google
Advisory Board Member Agreement Template Download in Word, Google
NonProfit Advisory Board Agreement Template Google Docs, Word, Apple
Sample Gym Membership Contract Classles Democracy
Board Member Contract.agreement.20142015
Society for Conservation Biology Europe Section European Section Board
26 Free Commercial Lease Agreement Templates ᐅ TemplateLab
Web The Primary Function Of The Agreement Is To Outline The Responsibilities And Roles Of The Members In The Board Of.
Below Is A Sample Board Member And Officer Agreement Form, Also Commonly Called A Board Roles And Responsibilities Document Or A Board.
Web Ensure That Each Board Member Has Agreed To Abide With Ease.
Web A Board Member Agreement Is A Legal Document That Outlines The Obligation And Rights Of Board Members.
Related Post:









