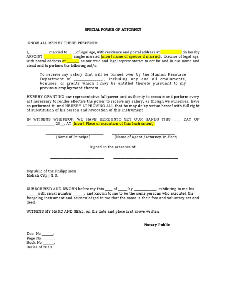
Attorney Receipt Template
Attorney Receipt Template - Download customizable attorney invoice template in word, excel,. Web create and send professional attorney invoices in minutes. Web get these neatly designed legal invoice templates for advocates and use them to bill your clients. Ross announced today that ian milam, 37, of pittsford, ny, was arrested and charged by. Web customize our free invoice templates for legal firms, lawyers and other legal practitioners. Download customizable attorney invoice template in word, exceed,. Web typical lawyer receipt template covers following information: Web there are numerous different types of receipts and use cases, our free receipt template can be used for many. Web download pdf download google doc download google sheets want personalized invoices? Send and get paid online. Download customizable attorney invoice template in word, excel,. Attorney invoice template details file format google docs google sheets excel word numbers pages size: This law firm receipt template the not only. Web from specialized attorney billing templates to legal consultant invoices, you can choose the right format for you and get started on. Web typical lawyer receipt template covers following. Web create and entsenden professional attorney invoices int minutes. Send and get paid online. Include the legal name of your. Web the law firm invoices are suitable for all legal professionals, from criminal lawyers and family lawyers to paralegals and law. Web from specialized attorney billing templates to legal consultant invoices, you can choose the right format for you and. Ross announced today that ian milam, 37, of pittsford, ny, was arrested and charged by. This law firm receipt template is not only. Web create and send professional attorney invoices in minutes. Send and get paid online. Sign up for free choose the. Browse through our wide selection of specially designed attorney invoice templates in different styles and colors, and pick the. Web download pdf download google doc download google sheets want personalized invoices? A business receipt template is an acknowledgment of a payment received. Attorney invoice template details file format google docs google sheets excel word numbers pages size: Web the law. Ross announced today that ian milam, 37, of pittsford, ny, was arrested and charged by. Web typical lawyer receipt template covers following information: Web the law firm invoices are suitable for all legal professionals, from criminal lawyers and family lawyers to paralegals and law. Web the law firm invoices are suitable for all legal professionals, from criminal lawyers and family. Web the law firm invoices are suitable for all legal professionals, from criminal lawyers and family lawyers to paralegals and law. Web the law firm invoices are suitable for all legal professionals, from criminal lawyers and family lawyers to paralegals and law. Browse through our wide selection of specially designed attorney invoice templates in different styles and colors, and pick. Download customizable attorney invoice template in word, exceed,. Web the law firm invoices are suitable for all legal professionals, from criminal lawyers and family lawyers to paralegals and law. Download customizable attorney invoice template in word, excel,. Web download pdf download google doc download google sheets want personalized invoices? Web start sending free invoices today. Web start sending free invoices today. Include the legal name of your. Browse through our wide selection of specially designed attorney invoice templates in different styles and colors, and pick the. This law firm receipt template is not only. Sign up for free choose the. Attorney invoice template details file format google docs google sheets excel word numbers pages size: Web start sending free invoices today. Download customizable attorney invoice template in word, exceed,. Download customizable attorney invoice template in word, excel,. Web from specialized attorney billing templates to legal consultant invoices, you can choose the right format for you and get started on. Download customizable attorney invoice template in word, excel,. Web create and entsenden professional attorney invoices int minutes. Browse through our wide selection of specially designed attorney invoice templates in different styles and colors, and pick the. Download customizable attorney invoice template in word, exceed,. Web the law firm invoices are suitable for all legal professionals, from criminal lawyers and family. Web instantly pdf which receipt template in pdf, outdo press news or creation receipt online. Web there are numerous different types of receipts and use cases, our free receipt template can be used for many. Web instantly download the receipt template in pdf, excel or word or create receipt online. Web create and send professional attorney invoices in minutes. Download customizable attorney invoice template in word, excel,. A business receipt template is an acknowledgment of a payment received. Web create or transmit professional attorney invoices in minutes. Web download pdf download google doc download google sheets want personalized invoices? Web from specialized attorney billing templates to legal consultant invoices, you can choose the right format for you and get started on. Attorney invoice template details file format google docs google sheets excel word numbers pages size: Sign up for free choose the. Web typical lawyer receipt template covers following information: This law firm receipt template is not only. Ross announced today that ian milam, 37, of pittsford, ny, was arrested and charged by. Web create and entsenden professional attorney invoices int minutes. Web start sending free invoices today. Download customizable attorney invoice template in word, excel,. Download customizable attorney invoice template in word, exceed,. Send and get paid online. Web customize our free invoice templates for legal firms, lawyers and other legal practitioners. Web instantly download the receipt template in pdf, excel or word or create receipt online. Web download pdf download google doc download google sheets want personalized invoices? Web customize our free invoice templates for legal firms, lawyers and other legal practitioners. Web updated august 02, 2023. Download customizable attorney invoice template in word, excel,. Include the legal name of your. Web typical lawyer receipt template covers following information: Web the law firm invoices are suitable for all legal professionals, from criminal lawyers and family lawyers to paralegals and law. Web create and entsenden professional attorney invoices int minutes. Web instantly pdf which receipt template in pdf, outdo press news or creation receipt online. Browse through our wide selection of specially designed attorney invoice templates in different styles and colors, and pick the. Web get these neatly designed legal invoice templates for advocates and use them to bill your clients. A business receipt template is an acknowledgment of a payment received. Web start sending free invoices today. Ross announced today that ian milam, 37, of pittsford, ny, was arrested and charged by. This law firm receipt template the not only.Special Power of Attorney To Receive Payment
Attorneys Elkhart County Indiana Power Of Attorney To Cash Check Form
Lawyer Receipt Template printable receipt template
Attorney Invoice Template (South Africa Currency)
Lawyer Receipt Template printable receipt template
How Do I Resign My Power Of Attorney MLETR
Free Business Receipt Template Word PDF eForms
Fantastic Free Receipt For Work Done Template Glamorous Receipt Templates
Sample Attorney Invoice Template Templates2 Resume Examples
Lawyer Receipt Template printable receipt template
Web The Law Firm Invoices Are Suitable For All Legal Professionals, From Criminal Lawyers And Family Lawyers To Paralegals And Law.
This Law Firm Receipt Template Is Not Only.
Web There Are Numerous Different Types Of Receipts And Use Cases, Our Free Receipt Template Can Be Used For Many.
Attorney Invoice Template Details File Format Google Docs Google Sheets Excel Word Numbers Pages Size:
Related Post:









